Просто поболтать)))
Осмотр в беременность, вопросыНаконец прошло 3 недели и щавтра я иду к врачу, что бы услышать СБ 🤞
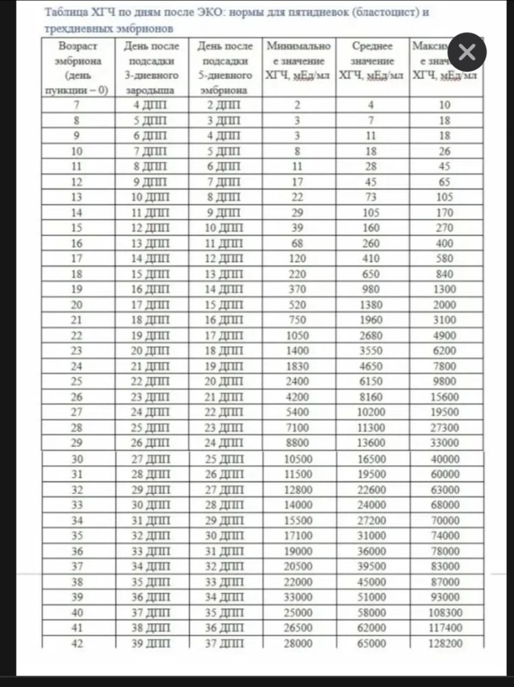
Последний раз была ровно в 4 недели и ХГЧ был 2500
Сейчас ровно 7 недель и для себя захотела здать ХГЧ. Ответ пришел 149789
Кто то ещё сдавал на 7 недели ХГЧ ???
Надеюсь завтра врач все увидит😊😊
Лучший ответ
Tatyana
:) ХГЧ то зачем на таких сроках сдавать - он не информативен
Удачи на узишке :) уже пора СБ стучать вовсю
28.08.2024
Ответить