Выбор роддома. Столкнулись с проблемой...
Как выбрать роддомДевочки...Прямо руки опускаются...Решили, что пора выбирать роддом.
Ничего хорошего особо не услышали....Проблема в том, что мы хотим совместно (а это,чаще всего,по контракту. Да и муж говорит, что лучше по контракту).
ПДР 31декабря-1января (но,кто знает,ведь может и раньше,а может и позже).
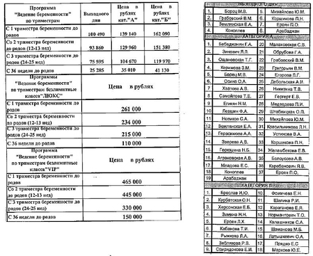
Начну по порядку. Может кому понадобится информация по роддомам.Информация от 22 октября 2010г.
Спасибо огромное моей близкой подруге (Ксюша,спасибо тебе огромное! 
) за совет и рекомендации обратится в 7 роддом. Врач очень хорошая! Но, что касается совместных родов, она помочь с этим не может...Только контракт. У них там есть "Семейная Страховая Компания" и Медицинский Центр "МИЛЛТа" - они занимаются заключением контракта на совместные роды. Она (врач) посоветовала обратится в "МИЛЛТа".
Итак:
Роддом № 7 (Коломенский проезд,д.4)
через Медицинский Центр "МИЛЛТа":
В 7-ом нам сказали:ООо! Мы не можем вам ничего гарантировать! Вряд ли кто из врачей согласится подписывать контракт на такие даты.
Стоимость конракта на совместные роды: 47 000р.
Нужно: справка от терапевта для мужа (не более 10 дней), Флюрография, ВИЧ,RW,Гепатит.
Посещение с 14:00 до 18:00
Заключение контракта: с 36 недель.
Нам сказали,звоните в 36 недель,БЫТЬ МОЖЕТ кто-то из враче согласится.Но вряд ли...
через страховую "Семейная Страховая":
Стоимость конракта на совместные роды:
58 000р. 2-х местная палата
76 000р. палата семейного типа (если эта палата свободна на момент родов, то доплачиваете и после родов Вы пребываете в данной палате)
В стоимость входит:
- присутствие мужа на родах
- палата в зависимости от выбранного контракта
- 2 УЗИ
- КТГ
Посещение с 14:00 до 19:00
Заключение контракта: с 36 недель.
------------
ЦПСиР -Центр Планирования Семьи и Репродукции (Севастопольский проспект,д.24 "А")
Обычно с середины декабря и до серидины января на мойке (уже не наш вариант...)
Стоимость конракта на совместные роды: 99 500р.
В эту стоимость входит:
- контракт на 2 месяца
- наблюдение с момента заключение контракта
- 1 местная палата
- присутствие мужа на родах
- кесарево по назначению врача (если потребуется)
Справок никакх не нужно.
Заключение контракта: с 36 недель (или полных 35,как мне сказали).
-------------
Перинатальный Медицинский Центр (Севастопольский проспект,д.24, корпус 1)
Стоимость конракта на совместные роды: мин. сумма контракта 134 000р. + скорее всего,будут еще доп.расходы (для нас очень дорого).
В эту стоимость входит:
- посещение с 9 до 21
- присутствие мужа на родах
- Пребывание в 1 комнатной палате (можно с малышом или без него,по желанию). Из расчета 13 000р./день (примерно 3-5 дней) (Стоимость пребывания в послеродовой палате: 7000р.мама + 6000р. ребенок (итого 13 000р./день).
- Все необходимое для мамы и малыша выдают. Нужно только одежда для выписки.
Заключение контракта: с момента получения обменной карты.
Ведение беременности:

Ведение родов:

---------------
Люберецкий Роддом
цена + условия проживания достаточно приемлимы. Но!!Контракт только на дежурную бригаду.Мы думаем, что лучше чтобы с конкретным врачом, с которым ты заранее познакомишься,итд итп.
Стоимость конракта на совместные роды:
50 000р. палата без душа
56 000р. палата с душем
Доплата за кесарево (если понадобится): 4000р.
В стоимость входит:
- присутствие мужа на родах
- палата семейного типа (т.е. проживание с мужем и малышом) 3-5 дней
Список необходимого выдают при заключение контракта.
Заключение контракта: с 30 недель.
------------
Роддом № 4 (ул.Новаторов,д.3)
Стоимость конракта на совместные роды: 67 000р. НО!!! (Опять тоже самое, что в Люберецком...) Контракт только на дежурную бригаду.
В стоимость входит:
- консультации
- анализы
- УЗИ
- КТГ
- присутсвие мужа на родах
- отдельный род.блок
- отдельная палата
Нужно: флюрография, ВИЧ,RW,Hbs
Заключение контракта: с 36 недель.
-------------
Роддом при ГКБ № 15 (Вешняковская ул., д.23)
Стоимость конракта на совместные роды:
ЕР: 72 000р.
Кесарево: 82 000р.
В стоимость входит:
- присутствие мужа на родах
- отдельная палата
Заключение контракта: с 37 недель.
У них имеется 1 палата семейного типа. Если на момент Ваших родов она будет свободна, то можно попробовать договорится о пребывание в ней,соответственно, доплатив за нее энную сумму денег (сколько-не знаю.не сказали).
Вся остальная инфо. при заключении контракта.
-----------
Роддом № 8 (м.Выхино)
Стоимость конракта на совместные роды: 60 500р.
В стоимость входит:
- присутствие мужа на родах
- УЗИ после родов
- консультации после родов
- 1 местная палата
Заключение контракта: с 36 недель.
----------
Роддом № 25 (ул. Фотиевой,д.6)
Стоимость конракта на совместные роды: 115 200р.
В стоимость входит:
- присутствие мужа
- наблюдение до родов (в течение 1 месяца,как я поняла)
- 2-х местная палата
- в течение 28 дней после родов налюдение мамы и малыша врачами (с выездом на дом)
Нужно: флюрография мужа (не более 1 года)
Заключение контракта: с 36 недель.
----------------
Роддом № 72
Стоимость конракта на совместные роды: 57 000р.
В стоимость входит:
- 1 местная палата
- присутствие мужа на родах
- посещение с 15:00 до 18:30
При неоходимости (если врач который будет вести Вас по контракту сочтет нужным):
- УЗИ 2250р.
- Консультация 150 р. (если врач-профессор, то 1000р.)
Заключение контракта: с 36 недель.
-------------
Роддом № 10 (ул.Азовская, д.22/2)
Стоимость конракта на совместные роды:
49 000р. 2-х местная палата
65 000р. палата семейного типа
В стоимось входит:
- присутствие мужа на родах
- палата в зависимости от выбранного контракта
Нужно:флюрография для мужа (не более 1 года)
Заключение контракта: с 36 недель.


. Одну меня муж не хочет отпускать рожать.Боится ( из ПДР которую нам ставят).Даже не знаю,кто больше боится- я или он))) А вообще, хочет хотя бы это разделить со мной