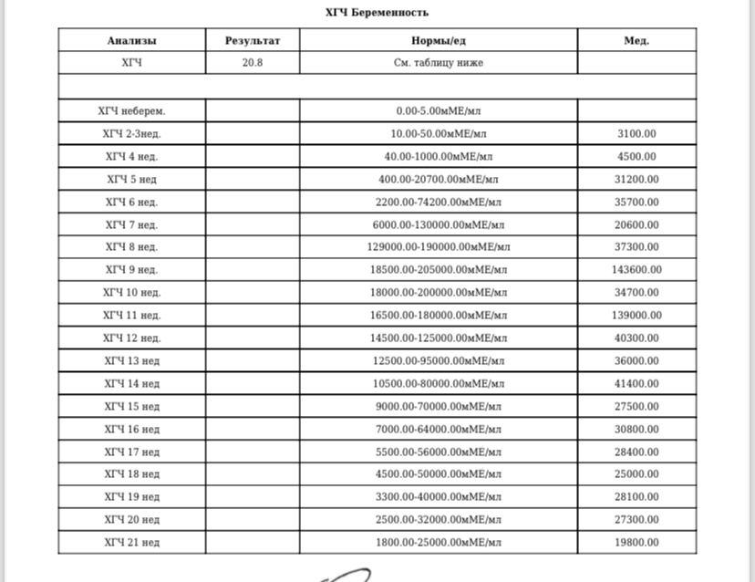
Хгч 20.8, что это ?
Девочки, привет! Может вы знаете, что со мной…😭 цикл 30-31 д. М были 12.01.2024, овуляция (по УЗИ) была 31.01.2024. ПА был 30.01.2024. Если отталкиваться от дня Овуляции, то сегодня получается 2 дз. Тесты слабоположительные, вчера сдала ХГЧ- 20.8 мМе/мл… я уже не знаю, что и думать, понимаю головой, что это очень низкий хгч, но может быть есть еще хоть капелька надежды… к слову, никаких выделений у меня нет.. очень боюсь внематочной…😣 может у кого-то так было?😢 да и значения странные, у некоторых лаб беременность начинается от 25, у других с 50, а тут как-то странно… уже не знаю, что и думать …
Лучший ответ
Мария
Почему низкий? ХГЧ не бывает низким, бывает плохой прирост. Смотрите свою динамику и потом делайте выводы
16.02.2024
Ответить
Мила Милова
Мария, просто на таком сроке у многих уже 3, а то и 4-х значные числа бывают, а у меня всего 20… поэтому и говорю, что низкий..(
16.02.2024
Ответить
Anna
У моей сестры тоже был низкий ХГЧ для 16 дпо тест вообще не показал полоски. У нее здоровый сын🙏🏻 Может была поздняя имплантация? Или 2 овуляции. Удачи вам, повторите анализ через день
16.02.2024
Ответить
Мила Милова
Anna, овуляции у меня действительно было 2…😳 потому что по узи слево и справа желтое тело… вот иди и думай..)) женский организм, как космос какой-то)
16.02.2024
Ответить
Мила Милова
Екатерина, к сожалению тогда был бхб, зато через год норм беременность )
23.01.2025
Ответить