СГ есть ли у нас шанс?
Девочки, миленькие, скажите есть ли у нас шанс. У мужа варикоцелле, хотим оперировать, анализы на инфекции в норме. У меня наконец-то в этом цикле будет О, хотелось бы не упустить свой шанс. Слышала, что операция не улучшает качество спермы, у подруги мужа прооперировали, результаты не улучшились. Сейчас пьет спермактив. корень девясила завариваю и орехи ест.

Anna-Maria
А в заключении какой диагноз написали? Есть подозрение, что в организме какое-то воспаление идет. В любом случае, нужно переделать через месяц-два, если до этого не наступит беременность. А еще я вам так скажу, для оплодотворения яйцеклетки нужен только один живчик. Так что не расстраивайтесь!
12.06.2015
Ответить
Sanka
Варикоцелле только, больше ничего, анализы на инфекции сдавали, все ок. Я понимаю, что одного хватит, боюсь, чтобы эти деформированные не добрались:(Спасибо Вам за поддержку.
12.06.2015
Ответить
Anna-Maria
гоните эти страхи от себя. Мысли материальны. Рисуйте в своей голове только картины легкой беременности и здорового малыша. И здоровый полноценный живчик обязательно найдет вашу клетку ;)100 раз убеждалась в том, что мысли материальны.Так, что удачи вам и легкой беременности!!!! 

15.06.2015
Ответить
Sanka
Спасибо Вам за позетив:)Вам здорового малыша и заветных // А Вы в Днепре к какому врачу Г ходите?
15.06.2015
Ответить
Anna-Maria
К Сердюку в Железнодорожку. Он, кстати, принимает пары, не просто жен))А вы?
15.06.2015
Ответить
Sanka
Про Сердюка наслышана, хорошие отзывы. Я к Шляховой на Тополе, хоть живу на Парусе:)
15.06.2015
Ответить
Anna-Maria
Тоже слышала о ней. Да, Сердюк меня покорил. Долго не решалась идти к мужчине, тем более, что он мне в отцы годится, но довольна как слон во время купания. Он сам делает узи, сам берет мазки и кольпоскопию делает. И все объясняет человечиским языком!
15.06.2015
Ответить
Sanka
Наверное, стеснение только на первом приеме испытываешь, потом привыкаешь, я вот недавно на узи молочных желез к мужчине ходила, нормально:)) А что Сердюк с мужчинами делает смотрит сг или направляет к андрологу?
15.06.2015
Ответить
Anna-Maria
Назначает анализы и уже потом, если есть отклонения от нормы дает рекомендации куда пойти и что сделать. Просто у мужа все в норме, поэтому не особо в курсе как обстоит дело с мужским фактором. Но то, что к нему постоянно приходят именно пары факт. Каждый раз на приеме вижу их возле кабинета.
16.06.2015
Ответить
Sanka
Я считаю это правильно, парой заниматься, спасибо что ответили. А нам нужен хороший андролог, чтобы не просто деньги высасывали:(
16.06.2015
Ответить
Kati
Начальнику назначали спермактив. Не помогло. Заменили на профертил и результаты улучшились! В 10 раз! Правда там и образ жизни поменялся - похудел, исключил сладкое и жирное, бросил курить и алкоголь за год ни разу. Сейчас ждёт двоих пацанов!
11.06.2015
Ответить
Sanka
Спасибо, почитаю может попробуем, муж говорит у него на спермактиве активность проявилась:)) Он не курит, пиво мы исключили, спортом сейчас не занимается, но вообще он у меня кандидат в мастера спорта по гирям, на них честно говоря и грешу по поводу варикоцелле:((
11.06.2015
Ответить
Оля
сколько мужу лет? после 30 операция как минимум бессмысленна, как максимум — ухудшит то, что есть
11.06.2015
Ответить
Оля
мужу 30, 2стороннее варикоцеле. консультировались у лучшего андролога, решили не оперировать, чтобы все не усугубить.
11.06.2015
Ответить
Sanka
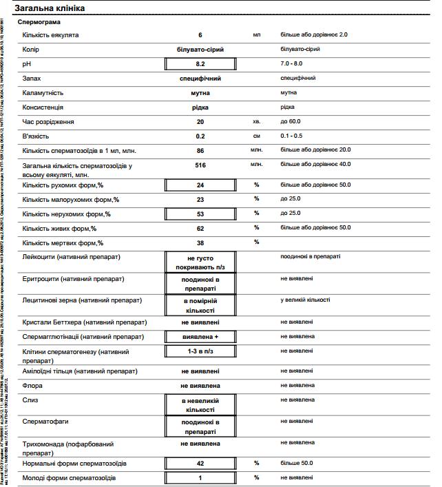
У Вас тоже дегенеративных форм много? Подвижных сколько? Врач назначил лечение? Муж раньше простамед пил, детралекс, витамин Е и витапрост форте свечи.
11.06.2015
Ответить
Sanka
морфология это нормальные формы без патологий? Извините я не очень в этом понимаю. А если использовать инсеминацию, они хорошие отбирают? Вы давно стараетесь? спасибо за ответ и за то, что не прошли мимо 

11.06.2015
Ответить
Оля
10% нормальных форм без паталогий. при инсеминации не отбирают, отбирают при ЭКО+ИКСИ. мы уже давно не стараемся, мы эко делаем)))
11.06.2015
Ответить
Sanka
Знаю, что шансы невысоки, но после операции гарантии что улучшится показатель тоже мало, еще и на реабилитацию год потратим наверное:(
11.06.2015
Ответить
Анна
Мы оперировали. При варикацеле (в нашем случае) Т в яичках была как Т тела. А должно быть 35.5 хотя бы. После операции благополучно получилось.
Сейчас лечим уже воспаление, 8 % подвижных. После операции прошло 20 лет почти:) и все в норме по этому аспекту.
Удачи вам!
11.06.2015
Ответить
Sanka
Спасибо. Андролог раньше нам говорил,что с таким кол-вом можно забеременеть, говорил что деформированные не доберутся, очень переживаю, иметь бы одного ребеночка и можно делать операцию, так не хочется остаться бездетными.
11.06.2015
Ответить
Миля
У моего мужа варикоцеле. Оперировался года четыре назад (тогда мы еще даже не встречались). Через год анализы практически ноль показали. Потом не обследовались. Я посчитала, как Аллах даст, так и будет. А в марте этого года родили мальчишку)))
11.06.2015
Ответить
Sanka
Поздравляю Вас, растите здоровенькими. Сколько активных было после операции? сколько было дегенеративных? Мы с мужем хотели сначала забеременеть, и потом сразу делать операцию, проблемы у нас двоих есть, не получается уже год:(( Боюсь что на реабилитацию мужа уйдет много времени, а мои яичники настолько ленивые, что О ждем как манну :)
11.06.2015
Ответить
Миля
Спасибо!Я сейчас бумажку с результатами уже не найду, но точно помню, что когда получили и я увидела в графе активных "0" впервые четко осознала, что детей может и не быть. Потом успокоилась, решила как будет, то и приму. Только молилась и даже планировала к Св.Матроне сходить. У моей подруги сестренка 4 года не могла забеременеть. Потом в город наш привезли мощи Св.Матроны. Там и месяца не прошло. Я не ходила, хотя живу в Москве сейчас. В итоге что-то случилось и забеременела. Думаю, что игнорировать лечение не надо, но и понимать, что все на небесах решается. Если сильно хотите, обязательно дорога поведет к желаемому результату. Искренне желаю удачи!
11.06.2015
Ответить