Анализы ..

Дополню: мой аутоиммунный териодит ( щитовидка)начался с падения гемоглобина, затем анемия, упал и ферритин до 5 , потом антитела ТПО нашли и пошли скачки ТТГ, волосы если начали выпадать то это уже не шутки
26.11.2022
Я мониторю каждые 2 недели, последний раз как у вас а до этого был 6.5 Изображение
26.11.2022
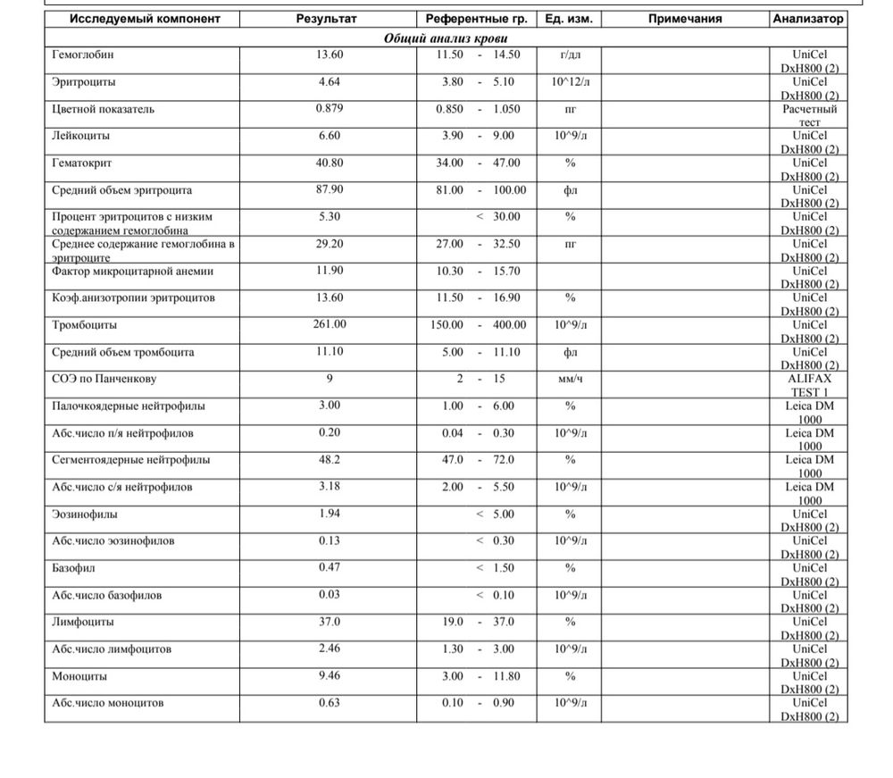
Нет у вас повышенных моноцитов и лимфоцитов. Значения смотрят в абсолютных числах , а не в %. Ферритин низкий, нужно хотя бы 50. АТ к ТПО - бывают просто носители. ТТГ отслеживайте в динамике.
26.11.2022
Моноциты, лимфоциты норма. Инсулин высоковат, его натощак хочется видеть до 5 (в российских значениях), ну может чуть выше. Ферритин низкий, Д3 низкий (у вас в нмолях, для перевода в нг, как в россии сдают, нужно на 2.5 делить. ). Общий белок хотелось бы глянуть. А ТТГ хочется видеть до 2.5. Итого вывод нерациональное питание, дефициты.
26.11.2022
Жанна, ДЗ- что это? Поняла, спасибо!
26.11.2022
Изображение Забыла прикрепить. Жанна,
26.11.2022
Александра, к сожалению сама не вникала в узи щитовидки, но вам уже написали, что похоже на аит хашимото.
26.11.2022
Судя по АТ ТПО щитовидки. ТТГ сдавали?
26.11.2022
Lorry, Ттг не значительно повышен
26.11.2022
Александра, норма от 0.3 до 4 вроде и если хоть чуток повышение или понижение то от этого конечно будут волосы выпадать.С учётом что антитела тоже повышены. Нужно к эндокринологу обязательно. Если хоть чуток больше 4 то это гипотериоз.
26.11.2022
Lorry, эндокринологи говорят, что ничего страшного, ничего не надо. Не понятно
26.11.2022
Александра, ну я сужу по своему опыту, шаг влево шаг вправо и здравствуйте волосы вне головы)) Конечно очень странно а на сколько не очень у Вас повышение?
26.11.2022
Lorry, 4,833. А что вам говорили врачи?
26.11.2022
Александра, ничего себе врачи, вам нужен точно другой эндокринолог, у меня с таких титров и началось, лучше не запускать , повышение/понижение любое не норма для щитовидной. Если запустить то можно вообще без шевелюры остаться ну и кожа дико сохнет чем больше растет
26.11.2022
Александра, ничего не нужно, только отслеживать в динамике.
26.11.2022
После конизации ШМ.ЭКО. Витамин D в крови. Норма или нет?