Хгч..

Лучший ответ

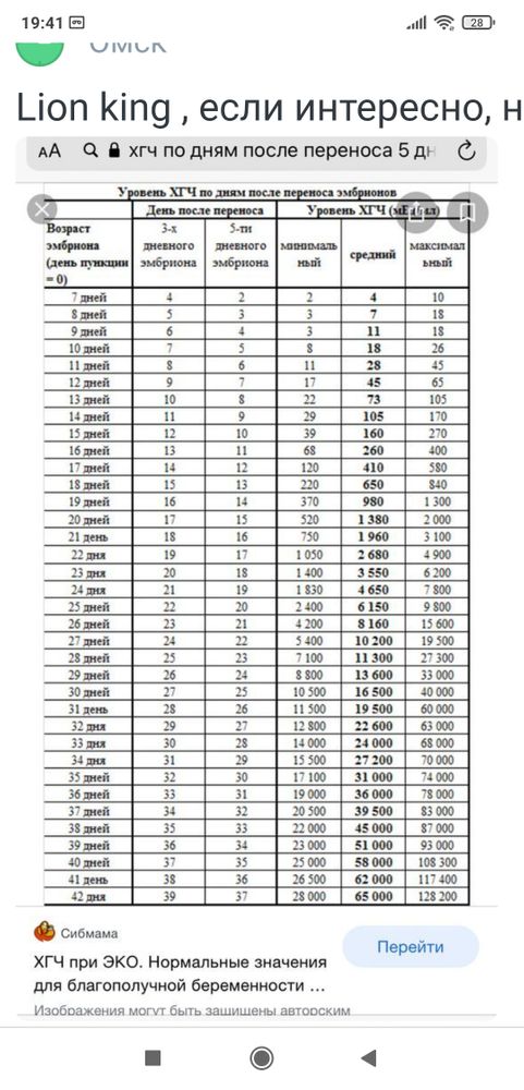
Судя по статистике вы идёте по максимуму Изображение
20.05.2022
Результат супер! Прицепился малышок за мамочку крепко
20.05.2022
Отличный 🙌🏻🙌🏻🙌🏻
20.05.2022
Ой спасибо вам девочки ❤️Вы меня успокоили 😘😘😘
20.05.2022
Это не нормально, а отлично!
20.05.2022
В вашем случае получается примерно 19 дпо при ЕБ. У меня на 19 дпо было 830 ХГЧ. Думаю, у вас отличный результат!
20.05.2022
Отлично, у некоторых всего 500-700 бывает и рады до безумия)
20.05.2022
Всё хорошо, что за паника
20.05.2022
Отлично👌
20.05.2022
7дпп не понятно Поддержка и общение