Как должен расти ХГЧ?

Лучший ответ

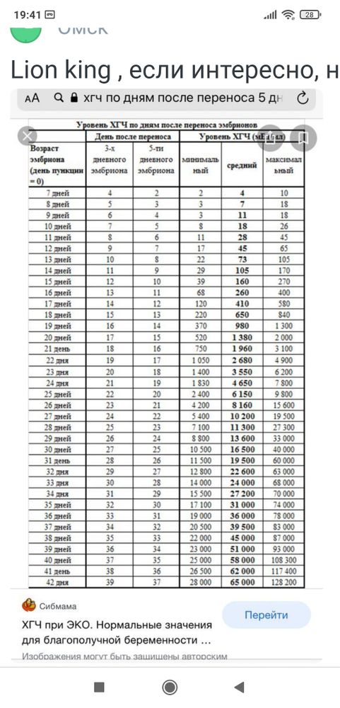
Изображение
29.05.2022
Изображение Вот примерно 45-105-260-650,впритык ровно в 2 раза при таких цифрах,это не очень знак,лучше больше
29.05.2022
Умножаешь на два.И плюс минус 86 хгч на 15 день
29.05.2022
Должен удваиваться
29.05.2022
Умножайте на 2. Мне лень.))
29.05.2022
В удачный перенос хгч на 13дпп был в районе 1500, в перенос где зб на 12дпп - 165, а 14дпп - 238. И то это очень, очень мало, настраивалась уже на плохой финал
29.05.2022
Изображение У меня так было. Это как раз редкий случай. Только на 21 дпп был не 121, а 421. Я опнчаталсь. При этом плоднле яйцо и желточный мешочек были. На 28 дпп хгч был 6 тысяч с чем то. Точно не помню. Ну сколько здесь смотрю рост хгч, такого не было еще. Вдруг и у вас редкий случай.
29.05.2022
Татьяна Филина, слабый призрак на тесте появился на 17 дпп. А вот четкая полоска на 22 дпп.
29.05.2022
Татьяна Филина, а еб не могла быть?
29.05.2022
Seaview, нет. 100 % не могла.
29.05.2022
Татьяна Филина, обалдеть! На самом деле чудо, не иначе)
29.05.2022
Seaview, я тоже так думаю. Потому что объяснения этому даже репродуктолог дать не могла. Предположила она позднюю имплантацию, но тоже как то не уверенно. Скорей всего, паталогия какая то была, связанная с выработкой хгч. Но ребенок развивался по нормам, как и положено. И родилась здоровой. Уже 11 месяцев почти, бегает, разговаривать начинает, соображуля, умничка. ЧУДО.
29.05.2022
Скорее в обратную сторону он будет расти
29.05.2022
На 11дпп был 798
29.05.2022
Он должен как минимум удваиваться в два раза через день. Но, честно сказать, на 13дпп хгч 43 это крайне мало..до этого сдавали? Возможно он уже падает
29.05.2022
Поночка, да. на 10дпп было 6
29.05.2022
ЖдУ//ЧуДа, это капец какие редкие случаи удачи с таким ростом..я знаю всего пару случаев..хотя я ветеран..но радует то, что он хотя бы вырос с 10дпп прилично..теперь ждём! И пусть случится чудо!
29.05.2022
Поночка, спасибо!))) Ждём!
29.05.2022
Хэлп ми сос. Белые выделения 6 дпп. Пролёт.