в ЭКО-мама 2 года

14дпп или 11 протокол

Лучший ответ

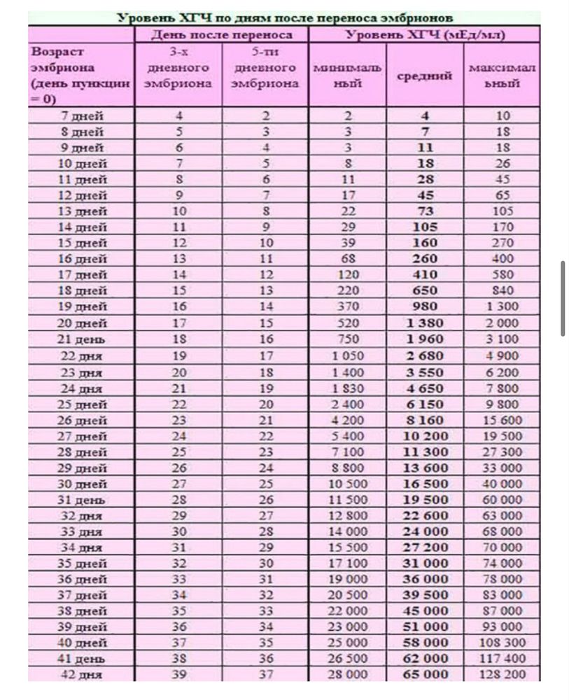
8 дпп 49 10 дпп 147 12 дпп 393 16 дпп 2482 26 дпп 41947 Близнецы, эмбрион поделился
04.01.2024
Таня Орозова, фух
04.01.2024
Таня Орозова, родили уже?
04.01.2024
Таня Орозова, у вас 3 дневка была или 5 дневка, и крио или свежий протокол был? Спасибо за ответ
04.01.2024
Ольчик
04.01.2024
Ольчик, 5-дневочка, свежий протокол
05.01.2024
Я ждала этот пост )) Тихонечко держу кулачки, скрещиваю пальцы, чтобы все получилось! Верю в Вас!
04.01.2024
Ольга, ❤️❤️✊✊🫂🫂
04.01.2024
Только сегодня спрашивала у ре про эту таблицу😅не буду говорить, что она сказала с ней сделать) сказала, что сроки имплантации у пятидневочек очень варьируются, и она априори не может быть актуальной для всех, сказала ориентироваться только на референсные значения лаборатории из анализа, по неделям Б) удачи Вам, пусть все получится🙏
04.01.2024
Маша, хм интересно
04.01.2024
Изображение Маша, получается если 12дпп+5дн это 17..это чуть больше 2 недель ближе к 3,а 3-я это уже 1500. Ну вот соответственно не в два раза больше
04.01.2024
Jul, я б на Вашем месте не занималась лишними подсчетами, я собственно по наводке доктора даже повторно хгч не пойду сдавать, расслаблюсь и буду ждать узи😌 всё будет так, как должно быть, не трепите лишний раз себе нервы «гонениями» мыслей в голове, как говорит моя РЕ «Ваше будет Ваше»🙏
04.01.2024
Маша, да согласна!!тоже так считаю.я спокойна,сразу было такое состояние.чего нервничать.все эти посты просто для себя,для поддержки,да и на память
04.01.2024
М, вот я так с вами сейчас согласна, но как выгнать плохие мысли из головы. Пришел результат на 4дпп 44 хгч. Вроде как сильно выше общепринятой нормы.. Страшно за патологии
19.06.2024
Феникс, а ещё это могут быть не патологии, а особенность организма, или эмбриончик разделился и их двое) иногда мысли материальны и мы получаем то, о чем думаем🙏Я верю, что у Вас все хорошо 🤞🏼
19.06.2024
М, а какие-то вообще существуют аномалии на этом сроке, которые появляются большим хгч?
19.06.2024
Феникс, вряд ли какие-либо аномалии можно распознать до первого скрининга
19.06.2024
М, ладно.. выдохнули.. до завтрашнего хгч все равно я беременна..
19.06.2024
Феникс, и дальше будете беременны) помните, Вы теперь не одна и все эти эмоции испытываете уже вдвоём 😌гоните плохие мысли)
19.06.2024
М, спасибо
19.06.2024
Феникс, нет это всегда хороший знак
19.06.2024
Феникс, принять ситуацию,что может быть патология,всё может быть в этой жизни,просто принять это
19.06.2024
Маша, так это эмбриональные недели
05.01.2024
Jul, конечно
05.01.2024
Молюсь за вас 🙏
04.01.2024
Лизиииико, ❤️❤️❤️❤️❤️❤️❤️🙏🙏🙏🙏🙏🙏🫂🫂🫂🫂🫂🫂🫂
04.01.2024
Мне тоже переносили 2х, хгч циферки похожи на ваши 7дпп - 39 9 дпп - 116 11 дпп - 401 Сегодня уже 17дпп сдала, жду результат. На узи 10.01 Верим только в лучшее🙏
04.01.2024
Дарья Шипилова , ну вот вроде логически один,но хочется верить😁😁
04.01.2024
Jul, мне вот пришёл хгч 17дпп 3618 Я так больше к одному склоняюсь, но может быть все что угодно🫣 истории есть когда хгч меньше и 2 😅
05.01.2024
Дарья Шипилова , меньше 2000?😳😳😳
09.01.2024
Подсаживали двоих, на 9дпп - 123, прижился один сынок. Верю в Вас как в себя тогда 🙏
04.01.2024
Astra, ну да !скорее всего так и получилось
04.01.2024
Удачи!
04.01.2024
Ася, оу какая вы богатая)))ловлю ✊
04.01.2024
Пусть всё будет хорошо 🙏крепись малыш за маму!
04.01.2024
Счастливая мама, 🫂🫂🫂🫂🫂🫂🫂🫂🫂❤️
04.01.2024
Тоже подсаживали двоих, сначала прижились оба и развивались синхронно (есть в дневнике динамика ХГЧ, тесты, узи). Но, в итоге, сложился только 1 малыш. И слава Богу за неё. Поэтому просто от всего сердца желаю, чтобы всё у вас получилось 🙏🏼🤍
05.01.2024
Елизавета, капец история
05.01.2024
У меня на 9дпп - 130,3; на 13дпп - 664,1. Показатели близкие к Вашим. У меня одноплодная беременность. Держим кулачки ✊🏻 за Вашего малыша.
04.01.2024
Екатерина, ну да скорее всего так же
04.01.2024
Оставшиеся комментарии доступны после регистрации
Зарегистрируйтесь и получите полный доступ ко всем функциям сайта.
18дпп,пришёл хгч 465🙏🏼 Завтра идти сдавать хгч