7дпп. Результат хгч и тест

Лучший ответ

Только что пришел результат 7дпп хгч 28,1, рядом с вами ☺️
28.08.2024
Мария , Да мы рядышком😁👍 Ждём следующий хгч на 9 дпп для динамики!)
28.08.2024
Юлия, у меня уже контрольный 9дпп для ре
28.08.2024
Мария , так и у меня тоже это контрольный на 9 дпп назначен))
29.08.2024
Юлия, ну значит ждем завтра
29.08.2024
Юлия, 52.92 сегодня, на 11дпп еще сказали сдать
30.08.2024
Мария , у меня только что ответ пришёл - 74,6 Врачу скинула, пока ничего не ответил
30.08.2024
Юлия, хорошо увеличился 👍
30.08.2024
Юлия, вчера пересдала у меня сорвалось, у вас как дела?
02.09.2024
Мария , очень жаль(( я завтра сдаю хгч
02.09.2024
Мария , у вас упал хгч ?
02.09.2024
Юлия, да, на 11дпп 31 стал.. поддержку отменили жду м и снова на перенос. Ну я до анализа еще заметила по тестам, бледнеть стали. Пусть у вас все будет хорошо ☺️
02.09.2024
Мария , сдала с утра хгч, жду результат.. страшно блин! Но тесты яркие уже
03.09.2024
Юлия, если тесты яркие то все хорошо, не переживайте.. я до результата крови поняла, что все плохо, так как тесты бледнеть стали
03.09.2024
Мария , пришел ответ, 588
03.09.2024
Юлия, 🥳 поздравляю
03.09.2024
У всех индивидуально, динамика - это главное У меня на 8 дпп 157 был
28.08.2024
Изображение
28.08.2024
Little Koldynia, получается ближе к среднему значению))
28.08.2024
Тихонечко поздравляю... Я на 8 день сдавала 55.34 показала кровь
28.08.2024
Алёна, спасибо💐
28.08.2024
В первую беременность на 7 дпп был 32, во вторую на 6 дпп 45
28.08.2024
Наталья , спасибо за ответ!
28.08.2024
Юлия, в динамике каждые 2 дня сдавайте. Главное, чтобы рос в 2-3-4 раза))
28.08.2024
Хороший результат хгч. У меня 27 был на 8 дпп. Верьте и надейтесь🙏💐
28.08.2024
Натэллочка, очень верю и надеюсь🤞🌸
28.08.2024
Был 83 на 7 дпп
28.08.2024
Шикарная полосочка
28.08.2024
Нормальный хгч. На 12 в районе 100+ был
28.08.2024
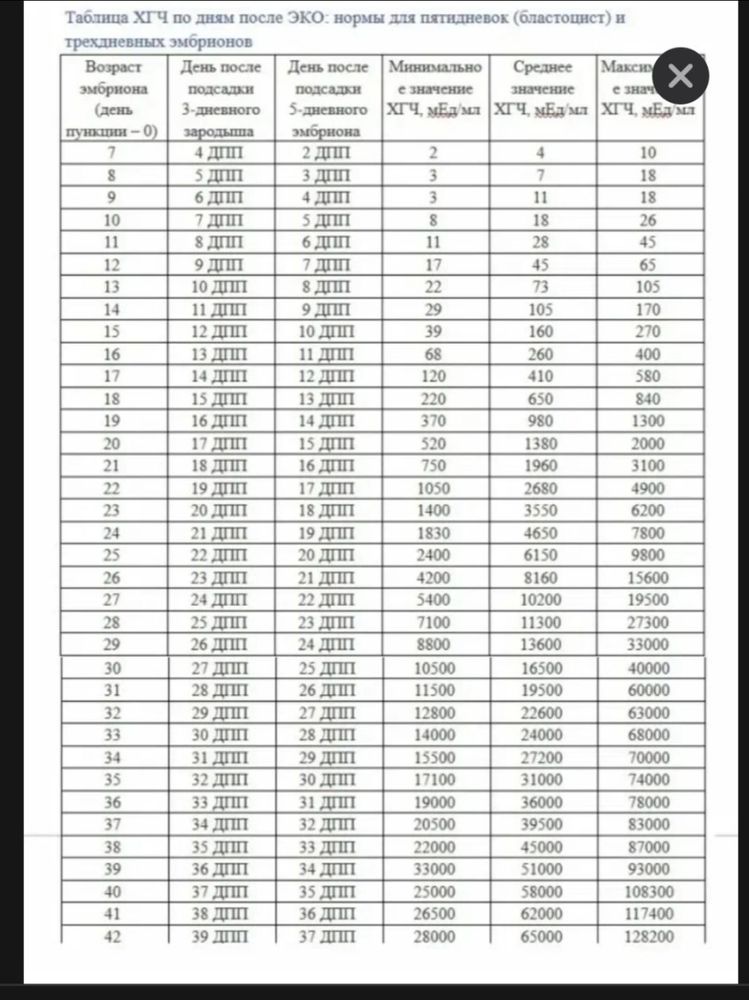
В таблице средние, минимальные и максимальные есть и для разных эмбрион
28.08.2024
Оставшиеся комментарии доступны после регистрации
Зарегистрируйтесь и получите полный доступ ко всем функциям сайта.
Есть полоска? Было прикрепление или нет?