Было прикрепление или нет?

Лучший ответ

Может маленький а может и не маленький 🤷‍♀️ не угадаешь … тут нужна динамика хгч … тест полоска хорошая 👌 прикрепление КОНЕЧНО было что за вопрос при положительном хгч и положительном тесте 🤦‍♀️
28.08.2024
Не у всех все по табличке. Чем раньше сдаешь, тем больше нервов
28.08.2024
Сдавайте ХГЧ через 48 часов, только так можно понять
28.08.2024
Уровень ХГЧ по анализу можно сказать, а так у вас очень даже не плохая вторая полоска) у меня такую же показал за 4 дня до задержки, сегодня годик празднуем))
28.08.2024
Судя по полоске тут уже ваши 10 прыгнули к 35-45 хгч
28.08.2024
А вам какие полоски нужны с хгч 20?) у меня примерно такие и при 150 были. По тестам не отслеживают динамику.
28.08.2024
Ирина, я спросила не про полоски, а то что хгч на 5 дпп был 10.7 , не маловат ли?
28.08.2024
Татьяна Улимова, на 6 был 18,5 в 15 сдавала, пока все хорошо у вас
28.08.2024
Татьяна Улимова, больше 5 считается что прикрепление есть, если в лабе референс не выше
28.08.2024
Я вижу у вас 2полоски у вас же маленький срок же,с дайте хгч на 14день
28.08.2024
На 5дпп от 8 вы укладываетесь
28.08.2024
У меня на 5 дпп, хгч 6,5.. уже по переживать успела и успокоится.. сегодня 7дпп сдала опять, жду результат
28.08.2024
Мария , напишите пожалуйста как придет результат
28.08.2024
Татьяна Улимова, хорошо, но это поздно будет.. тесты ярчают надеюсь на лучшее
28.08.2024
Татьяна Улимова, пришел результат хгч 28.1, в 4 раза вырос получается
28.08.2024
Мария , ооо, поздравляю👏
28.08.2024
Татьяна Улимова, спасибо☺️
29.08.2024
Изображение
28.08.2024
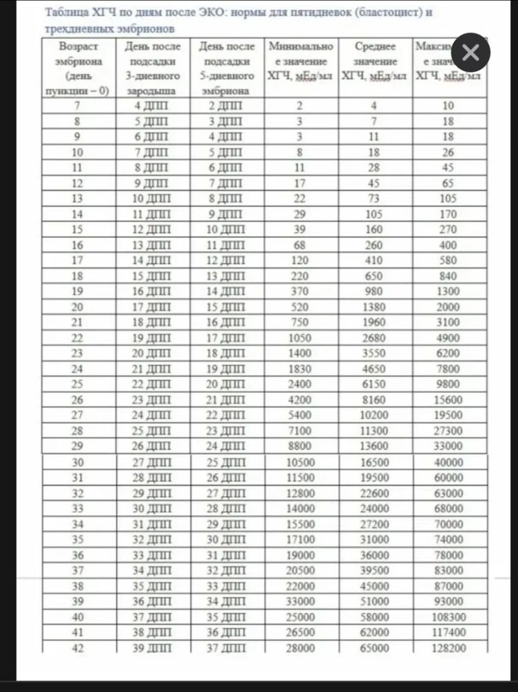
Little Koldynia, судя по таблице, только чуть превысило нижнюю границу , вот поэтому и переживаю, уже стона думала🤦🏻‍♀️
28.08.2024
Татьяна Улимова, вот чтобы не переживать … не надо сдавать так рано 👌 рано сдали + нужна динамика он сейчас такой а может через 2 дня как поднимется что сами не ожидаете … теперь сдайте на 7 дпп и 9 дпп чтобы четко 48 часов было … чтобы понять динамику
28.08.2024
Алёна, ре сказала сдать только на 8ДПП
28.08.2024
Татьяна Улимова, ну у кого то имплантация ранише у того и хнч выше может ваш малыш вечером имплантировался и пик значит вечером.
28.08.2024
Оставшиеся комментарии доступны после регистрации
Зарегистрируйтесь и получите полный доступ ко всем функциям сайта.
7дпп. Результат хгч и тест Криопротокол и его особенности.