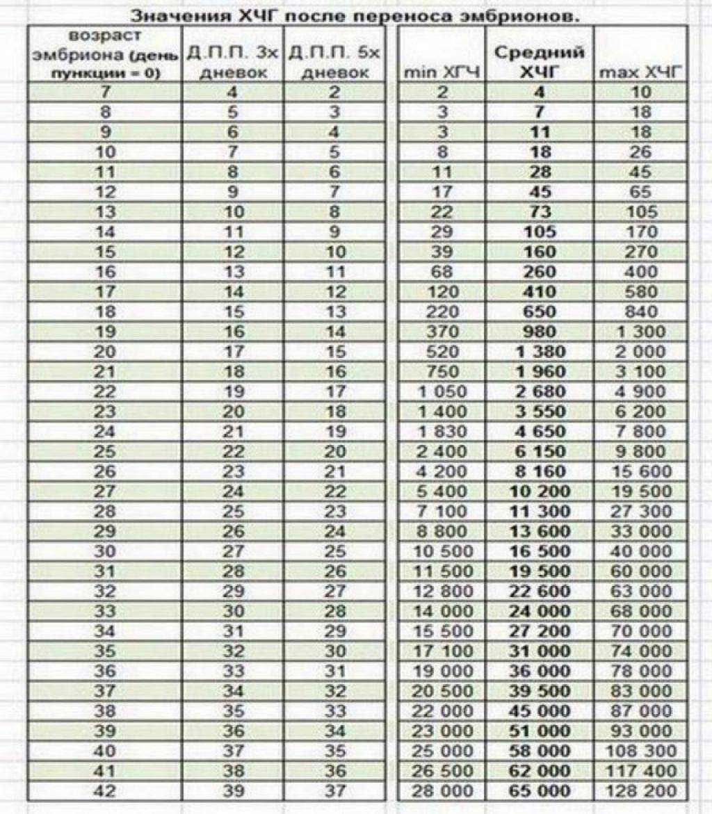
Кристина в ЭКО-мама 9 месяцев Девочки посмотрите нормально ли растет хгч Результаты ХГЧ На 7 день после переноса был 49.8 На 11 день после переноса 264 Прогестерон 159 Посмотрите еще 20 записей на эту тему Отменить Ответить Елена Думаю что норм, главное что он растет, я для своего спокойствия сдавала с 6дпп до 17дпп 11.03.2025 Ответить Кристина Елена, просто я думаю,что он же мог прикрепиться позже,ну буду смотреть в динамике 11.03.2025 Ответить Елена Кристина , у вас среднее значение ХГЧ для 11дпп 11.03.2025 Ответить Любовь Прогестерон что принимаете? 11.03.2025 Ответить Елена Любовь , скорее всего стандартная поддержка при эко или утрик или крайнон 11.03.2025 Ответить Кристина Елена, а подскажите,это не маленький Хгч на 11 день после переноса,как думаете ?)❤️ 11.03.2025 Ответить Кристина Любовь , здравствуйте Миражель 11.03.2025 Ответить Любовь Кристина , хороший высокий прогестерон, я на масляном всегда поэтому спросила 11.03.2025 Ответить Елена Рост хороший. У вас каждые 48 часов растет примерно в 2,3 раза. Прог тоже хороший 11.03.2025 Ответить Кристина Елена, спасибо ❤️ 11.03.2025 Ответить Сегодня 7дпп Нормальный ли рост хгч? Чаты Беременных Выберите чат: Январята-2026 Февралята-2026 Мартята-2026 Апрелята-2026 Майчата-2026 Июнята-2026 Июлята-2026 Августята-2026