в ЭКО-мама 9 месяцев

Хгч при уколах

Лучший ответ

Слишком маленькое значение для 9дпп
30.03.2025
Ирина, я тоже так думаю. В удачном протоколе было 40 на 8 дпп . но там не было уколов в поддержке
30.03.2025
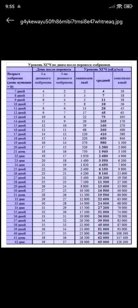
Это хвост На 9дпп уже как правило за 100 хгч. А хвост может быть от укола дней 13 даже.
30.03.2025
Сравните по таблицам. Скорее всего хвост, но я бы перестала через 48 часов, что бы убедиться.
30.03.2025
Арбузик, у меня 1500 уколы
30.03.2025
Ирина, прошло 5 суток остаток где-то 10-12, остальное ваше.
30.03.2025
Арбузик, но для 9 дня это очень мало
30.03.2025
Ирина, согласна, но пересдать все равно нужно, что бы убедиттся, что падает, возможно бб..
30.03.2025
Ирина, таблица это тоже ориентировочные цифры. У кого-то быстрее выходит, у кого-то медленнее. Может у вас уже весь вышел и все 20 ваши. А может у вас медленнее выходит и ваших меньше 9 даже.. надо в динамике смотреть конечно. Пусть это всё будет ваше🤞🙏
30.03.2025
Лиза, спасибо большое пересдам
30.03.2025
Ирина, как ваши дела, как результат?
01.04.2025
Лиза, к сожалению это была биологическая беременность
14.04.2025
Изображение Изображение
30.03.2025
Скорее всего укол еще
30.03.2025
Татьяна у меня крио может это важно
30.03.2025
Ирина, нет, это не важно.
30.03.2025
У меня тоже были уколы хгч на 0, 2 и 4дпп. На 8дпп результат был 400, дальше только рос. Вам 5-дневку переносили? Если да, то возможен хвост или бхб, но надо динамику смотреть. Может еще разгонится
30.03.2025
Ксения Сахарова, да пятидневку ((( шансом мало как я понимаю.
30.03.2025
Покадите тестики? Вообще при уколах только кровь актуальна. Уколы гуляют и так то в крови по разному у всех, и в моче подольше выходит хгч, поэтому сдайте в динамике и станет ясно
30.03.2025
Феникс, уколы был 5 суток назад неужели еще не вышел.
30.03.2025
Ирина, тестик бы посмотреть
30.03.2025
Хгч 7 дпп 17дпп