4дпп
4 день после переноса, тесты чистые, ощущений ноль, неужели столько сил денег и лекарств зря?😫😔😭
Jekaterina
ну какие тесты на 4дпп 🙄 и какие ощущения вы хотите? боль, рвота, грудь на 2 размера больше?
Вам врач когда сказал хчг сдавать? потерпите и верьте! вообще то большинство беременных ничего не чувствуют до недели 7-ой , 8-ой. а тут 4 дпп. я вот начала чувствовать токсикоз на 8ой неделе, до этого никаких ощущений... удачи вам!
06.09.2017
Ответить
Vi
Спасибо большое за добрые слова💐 Просто читаешь тут , у всех уже тесты хоть слабенькую показывают , но не у меня😭
06.09.2017
Ответить
Jekaterina
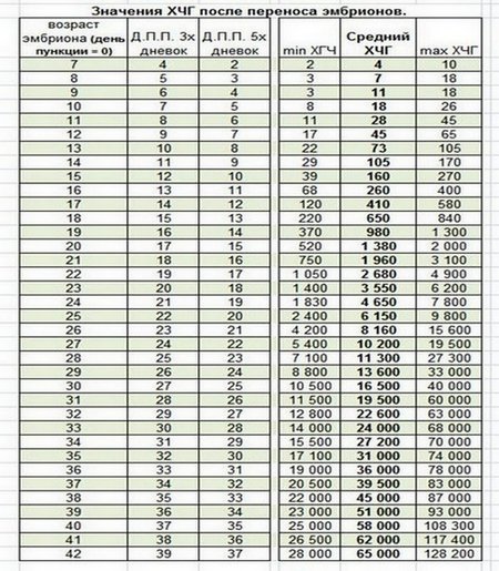
вообще хчг начинает выделятся только после имплантации..посмотрите какой хчг на 4 дпп, его еще не один тест не покажет, а имплантация может быть поздней, так что отдыхайте и ждите своего дня Х :)
вообще хчг начинает выделятся только после имплантации..посмотрите какой хчг на 4 дпп, его еще не один тест не покажет, а имплантация может быть поздней, так что отдыхайте и ждите своего дня Х :)
06.09.2017
Ответить