Войти

Хгч 7679 на 22 день после зачатия

0
26

Лучший ответ

Мичуринск
У меня на 5-6 дз (выходит, что на 20-21-22 дпо) был хгч 69 000. Думала, что двойня, если не больше. Нет. 1 плод))
0
28.01.2025
Краснодар
Анастасия, вот я тоже прикинула, что больше должен быть уже 🙃
0
28.01.2025
Мичуринск
Юлия, совсем не обязательно. Смотрите значения лаборатории
0
28.01.2025
Краснодар
Анастасия, по значениям лаборатории это 3-4 недели, а у меня уже 5-6 получается
0
28.01.2025
Мама двоих (5 лет, 4 месяца) Мурманск
Юлия, 3-4 недели эмбриональные наверное, как раз ваши 5-6 акушерских))
0
28.01.2025
Краснодар
Мари, аааа, может быть 🙃
0
28.01.2025
Мичуринск
Юлия, передайте еще, не раньше чем через 2 суток после последнего. Если вырастет вдвое, то всё хорошо.
0
29.01.2025
Краснодар
Анастасия, да, завтра пойду сдавать
0
29.01.2025
Мама троих (17 лет, 5 лет, 4 года) Минск
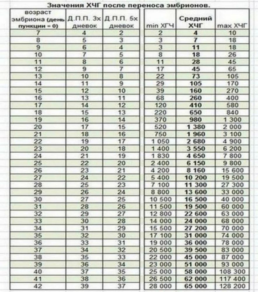
Юлия, не должен,у вас и так высокий хгч для такого срока от зачатия,но это хорошо наооброт,вот таблица здесь максимум на 22 дпо 4900 Изображение
0
28.01.2025
Мама девочки (10 месяцев) Москва
хороший) у меня на 21 дпо 7618 был
0
28.01.2025
Краснодар
Наденька, спасибо, это утешает, а то я потерялась в значениях, по нормам кдл это 3-4 недели, а у меня уже 5-6 получается
0
28.01.2025
Мама девочки (10 месяцев) Москва
Юлия, не знаю что там за нормы у них)) вот табличка, по ее нормам у вас даже превышение) Изображение
0
28.01.2025
Краснодар
Наденька, 🤪 ладно, жду узи теперь
0
28.01.2025
Мама троих (17 лет, 5 лет, 4 года) Минск
Наденька, это не та табличка,это табличка для ЭКО,здесь дни после подсадки,а не после овуляции,а вот для естественного зачатия Изображение
0
28.01.2025
Мама девочки (10 месяцев) Москва
Марина, ой точно 😂 ладно извините, мне скидка))) но если брать за основу первый столбец (возраст эмбриона), те же значения))
0
28.01.2025
Мама троих (17 лет, 5 лет, 4 года) Минск
Наденька, значение те же,но разница в 5 дней 22 дпп не равно 22 дпо,это разные сроки 22 дпп это если сравнивать с естественным зачатием то возраст эмбриона 22+5=27 дней,т.е 27 дпо,а 22 дпо оно и есть 22 дпо,а так по первому там как раз возраст эмбриона,там сходиться,а дальше нет
0
28.01.2025
Мама троих (17 лет, 5 лет, 4 года) Минск
Увидят,но максимум пя и жм,так как 22 дпо это рано для эмбриона,не смотря на то что хгч высокий и хороший для такого дпо,у меня на 20 дпо -7200 был,на 22 дпо УЗИ пя 8 мм,жм 1,6,а на 31 дпо был эмбрион и сб
0
28.01.2025
Краснодар
Марина, и этому буду рада 🙏 с дочкой тоже помню ходила на первое узи еще до сердцебиения, но тогда я до задержки еще узнала и явно рано пошла
0
28.01.2025
Мама троих (8 лет, 7 лет, 8 месяцев) Нижний Тагил
Очень хороший результат ,у меня на 23 ДПО 5984. Вчера была на узи был 28 ДПО,уже всё было.
0
29.01.2025
Краснодар
Ксения, спасибо! Сегодня тоже увидели ПЯ и 2 желтых тела, теперь переживаю, что слишком большой хгч и там двойня может быть 🙃 нет нам покоя))
0
29.01.2025
Гомель
Хороший хгч, у меня на 21 дпо был 7300
0
28.01.2025
Краснодар
Людмилка, спасибо 🌷 обнадеживает)
0
28.01.2025
Мама девочки (14 лет), планирую беременность Новосибирск
Должны уже всё увидеть
0
28.01.2025
Краснодар
Настена, спасибо! Скорей бы завтра 🤪
0
28.01.2025
планирую беременность Курган
Конечно увидят )
0
28.01.2025
Краснодар
Ирина, спасибо
0
28.01.2025
Головокружение на 7 неделе беременности Как же летит время 🥹

Похожие записи