Отчет о сданном ХГЧ!!!
Разглядываем тесты // пока ждём результат ХГЧ
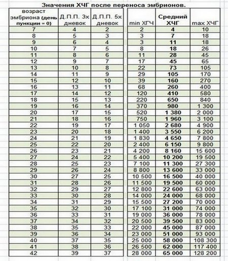
Девочки, всем привет! Вчера писала пост и те кто поддержал спасибо. ХГЧ 50.21, но так как все пишут про трехзначный ХГЧ это видимо в какой лаборатории сдавать , у меня вот такой, но почему то никаких эмоций, что я беременна нету, толи не верится , толи я дура, толи шок,из поддержки все оставили,так как не очень хорошая гемостазиограмма и D-димер. Вразумите мою неадекватное состояние,нужно радоваться, а у меня ноль эмоций,в понедельник нужно еще раз сдать ХГЧ и Гемостаз для оценки.
Юлия
Елена, простите, а какой у вас д-димер? Мы на пороге протокола, а он ппц как завышен.
А хгч у вас красивый!!! Мониторьте его дальше. Лёгкой Б желаю!!!
16.02.2017
Ответить
Алиса
У меня на 9ДПП четырёхдневок был 54, пересдала на 13ДПП уже 296! Удачи вам! Всё будет отлично!
16.02.2017
Ответить
Ляна
Ой,девчонки всем привет✌️.У меня практически такая же ситуация.Сегодня 14 дпп пятидневки ,сдала хгч -70.12 .Мало очень ,у меня истерика😢.Это третья попытка Эко.В каждой всего по 2 фаликула созревало(
16.02.2017
Ответить
Ирина
У вас какие-то единицы странные, европейские. Мне кажется или вы не тот анализ сдали или просите лабораторию перевести в нормальные единицы измерения.
16.02.2017
Ответить
К@тюшк@
имплантация все же есть, теперь смотрим динамику! Удачи!!!!
все будет БЕРЕМЕННО
16.02.2017
Ответить
Татьяна
Лично знаю девочку, у которой и хгч маленький был и рос плохо. Но она уже на днях уже готова ехать в роддом. Конечно, это исключение, но оно есть!
16.02.2017
Ответить
Оставшиеся комментарии доступны после регистрации
Зарегистрируйтесь и получите полный доступ ко всем функциям сайта.
все нормально для 9 дпп