Результаты 2ой пункции
Протоколы ЭКО (Все о них, все об этом периоде+Гиперстимуляция)Переживала, конечно, за результат, пока эмбриолист открывался в почте, семь потов сошло😅
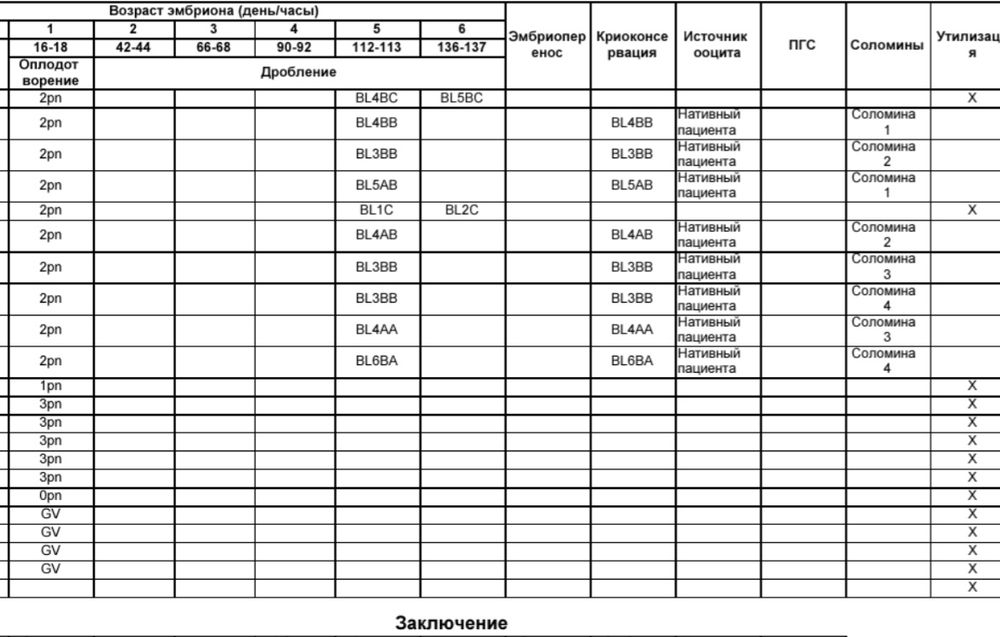
так как в первой пункции 30+ клеток взяли, на выходе 2 эмбриона было, всю стимуляцию тошнило от уколов, живот распирало от боли, была на больничном, отдыхала.
На второй стимуляции сейчас поменяли препараты, чувствовала себя на ней вообще прекрасно, ничего не болело, не кололо, не тошнило, все время работала. До сих пор не верю😀8 эмбрионов!
В августе, надеюсь, поеду на перенос сразу двух… Хотя это родственники все и муж подбивают сразу по 2 переносить, а я хочу по одному🤓не знаю как лучше
Лучший ответ
Malinu
Про перенос сразу двух, здесь уже часто обсуждали. Лучше одного. Кто бы что не говорил, риски очень большие. А ведь это не казино, здесь уже живые пузожители-человеки!
15.06.2023
Ответить
Jacky
Результат шикарный, поздравляю!! У меня в первом протоколе тоже всего два вышло. Готовлюсь на второй заход, надеюсь, эмбриолист будет не хуже)
16.06.2023
Ответить
Алина
У вас хорошистов с отличниками посадили на соломинки) как раз наверное чтобы 2 переносить и шансов было побольше! Поздравляю с хорошим результатом!!!
16.06.2023
Ответить
Aysuram
Интересно, сколько бы себе перенёс муж и родственники, при возможности))
16.06.2023
Ответить
VILLI
Качество эмбрионов теряется с каждой разморозкой, подумайте хорошо прежде чем так рисковать долгожданными эмбрионами.
15.06.2023
Ответить
Настенька
Мы перенесли 2х, когда уже прошли 3 неудачные попытки без имплантации. И двое прижились. Поначалу может не сильно отличаться от переноса одного эмбриона, но неделе к 30й будет все тяжелее) ну и родственникам проще судить, не им детей вынашивать) так что подумайте и побудьте здоровой эгоисткой)
15.06.2023
Ответить
Лейсан
Подскажите что-то поменялось во второй стиме или просто в первый раз был неудачный цикл?
у меня просто тоже клеток много, а по эмбрионам так себе🤔
16.06.2023
Ответить
Алиса
Лейсан, поменяли сами препараты, которыми стимулировали, я не помню названия , гонал был, а сейчас другое что-то
16.06.2023
Ответить
Это_Катя
Так вам их всех по два заморозили, судя по всему. Я б не рисковала по одному переносить, размораживать ведь обоих придётся, а снова замораживать есть риск потери.
15.06.2023
Ответить
Алиса
Это_Катя, я уточняла этот монет, все эмбрионы без проблем размораживаются и замораживаются- только плати😀если бы их всего было 2 как в первый раз я ехала, то да… страшно поехать на перенос и некого будет переносить, но в моем случае сейчас эта проблема отпадает)
15.06.2023
Ответить
Это_Катя
Алиса , вы не правы. Далеко не все эмбрионы переживают разморозку и заморозку. Большинство, да, но не все. Даже тут на форуме были печальные истории. Но это ваши эмбрионы, решение за вами.
16.06.2023
Ответить