Хгч нормы)
Анализы и процедуры. Помощь в расшифровке результатов
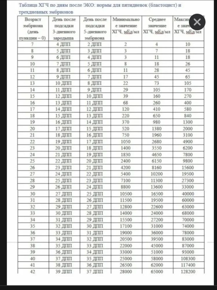
Девочки, здравствуйте! Скоро сдавать хгч. Подскажите, пожалуйста, может, у кого-то есть табличка для 4ёхдневочки? У меня есть, но она для 3 и пятидневки. Буду очень благодарна.🙏
Лучший ответ
Маруся
Эти таблички такая ерунда. У меня 3х дневочка была. 12дпп - 600, 14дпп - 1300.
Все равно только удвоение за 48 часов покажет , прижился или нет.
07.09.2024
Ответить
Ирина
Маруся, просто хотела узнать, на что-то же нужно опираться) а то от незнания можно кукушкой улететь😁
07.09.2024
Ответить
Маруся
Ирина, на значение хгч в вашей крови будете опираться. Первая кровь на 12-14 дпп должна быть выше 100, через 48 часов должно быть удвоение . Только так
07.09.2024
Ответить
Маруся
Ирина, уже прошла это)) и тоже искала эти таблички. Первый раз хгч был как в табличке на 12 дпп , только вот через 48 часов удвоения не случилось, увы . Второй раз хгч не соответствует таблице у все получилось.
07.09.2024
Ответить
Elena
Я думаю, что просто для 4х дневки верхнюю строку принимать за 3ДПП и все , и поехали дальше по таблице)
07.09.2024
Ответить
Little Koldynia
У меня 6ти дневный хгч всегда выше верхнего для 5ти дневки. Так что ваша 4 дневочка это максимальная для 3 дневки строчка или минимальная для 5ти дневки думаю. Удачи 😊🤗
07.09.2024
Ответить
Ирина
Little Koldynia,и вам удачи,пускай у вас всё получится.Уже некоторое время отслеживаю вашу историю.пусть наши мечты исполнятся.🪄 🤰🤰
07.09.2024
Ответить
Аннушка Аннушка
Аннушка Аннушка , а по поводу 4х дневок думаю не сильно будет отличаться
07.09.2024
Ответить
Ирина
Аннушка Аннушка , судя по логике если вверху таблички написать день после подсадки 4 дневного эмбриона , то первая строка это будет 3 дпп. т.к. у 5 дневного это второй день, а у трехдневного это хгч соответствующее для 4 дпп. 🙄🙄🙄🙄😀
07.09.2024
Ответить