Войти
планирую беременность Москва

Анф (результаты)

0
15
Мама двоих (3 года, 2 года) Рязань
А для чего вы сдаете? Такие анализы надо сдавать в одной лабе, если анф положительный, то сдают еще иммуноблот антинуклеарных антител (смотрят, какие именно антитела повышены)
0
20.05.2024
планирую беременность Москва
Дарья1919, чтобы понять в чем причина замерших
0
20.05.2024
планирую беременность Москва
Дарья1919, Изображение
0
20.05.2024
Мама двоих (3 года, 2 года) Рязань
Ajulia , вы сдавали эти анализы когда? Во время Б, после, черкз сколько после зб? Панель АФС всю проверяли?
0
20.05.2024
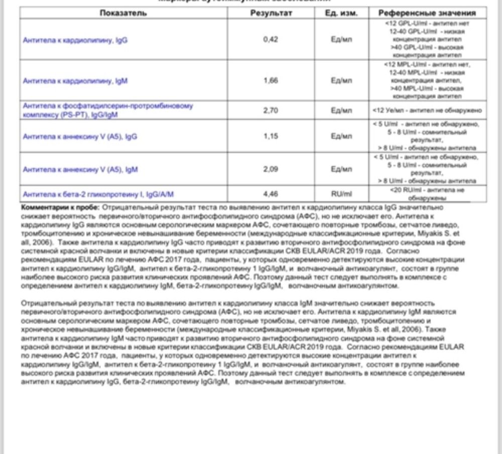
планирую беременность Москва
Дарья1919, вне беременности, через месяца 3-4. Афс да, только протромбин мне суммарно сделали, сейчас должны со дня на день раздельные прийти результаты Изображение
0
20.05.2024
Мама двоих (3 года, 2 года) Рязань
Ajulia , у вас и гликопротеин суммарный тоже
0
20.05.2024
Мама двоих (3 года, 2 года) Рязань
Ajulia , у меня была похожая ситуация, вам нужен хороший врач. Мне помогла Каплина Ольга Юрьевна, принимает в Москве очно и онлайн. Можете почитать все мои посты в дневнике
0
20.05.2024
планирую беременность Москва
Дарья1919, я была у нее, мне она не понравилась
0
20.05.2024
Мама двоих (3 года, 2 года) Рязань
Ajulia , каждому свое, но из всех врачей, только она нашла причину моих потерь и с ней я выносила дочку. Куча врачей из Мать и дитя и цира просто заваливали кучей анализов
0
20.05.2024
планирую беременность Москва
Дарья1919, Изображение
0
20.05.2024
Мама двоих (15 лет, 2 года) Брянск
Это положительный результат, вы только АНА сдавали? Остальное отрицательно? В беременность антитела могут расти, но даже до беременности нужны будут скорее всего препараты (в зависимости от полной клинической картины - метипред, плаквенил) У меня как раз такой титр был причиной невынашиваний
0
20.05.2024
планирую беременность Москва
АльфаАлёна, я много чего сдавала, вы пересдавали и оба результата такие были? А в беременность они повышаются?
0
20.05.2024
Мама двоих (15 лет, 2 года) Брянск
Ajulia , у меня до беременности они отрицательны, сдавала регулярно раз в 5 недель после положительного теста и был титр 1:160 (на препаратах выносила здоровую девочку). Эти антитела оседают на эмбриональные оболочки и разрушают их.
0
20.05.2024
планирую беременность Москва
АльфаАлёна, у меня вне беременном состоянии такой результат
0
20.05.2024
Мама двоих (15 лет, 2 года) Брянск
Ajulia , да, это значит аутоиммунное состояние и вне беременности тоже. Может быть и так. Но имунная система работает в любом случае не верно
0
20.05.2024
Прогестерон и утрожестан Динамика хгч

Похожие записи