Полиморфизм генов, так все плохо??
Анализы
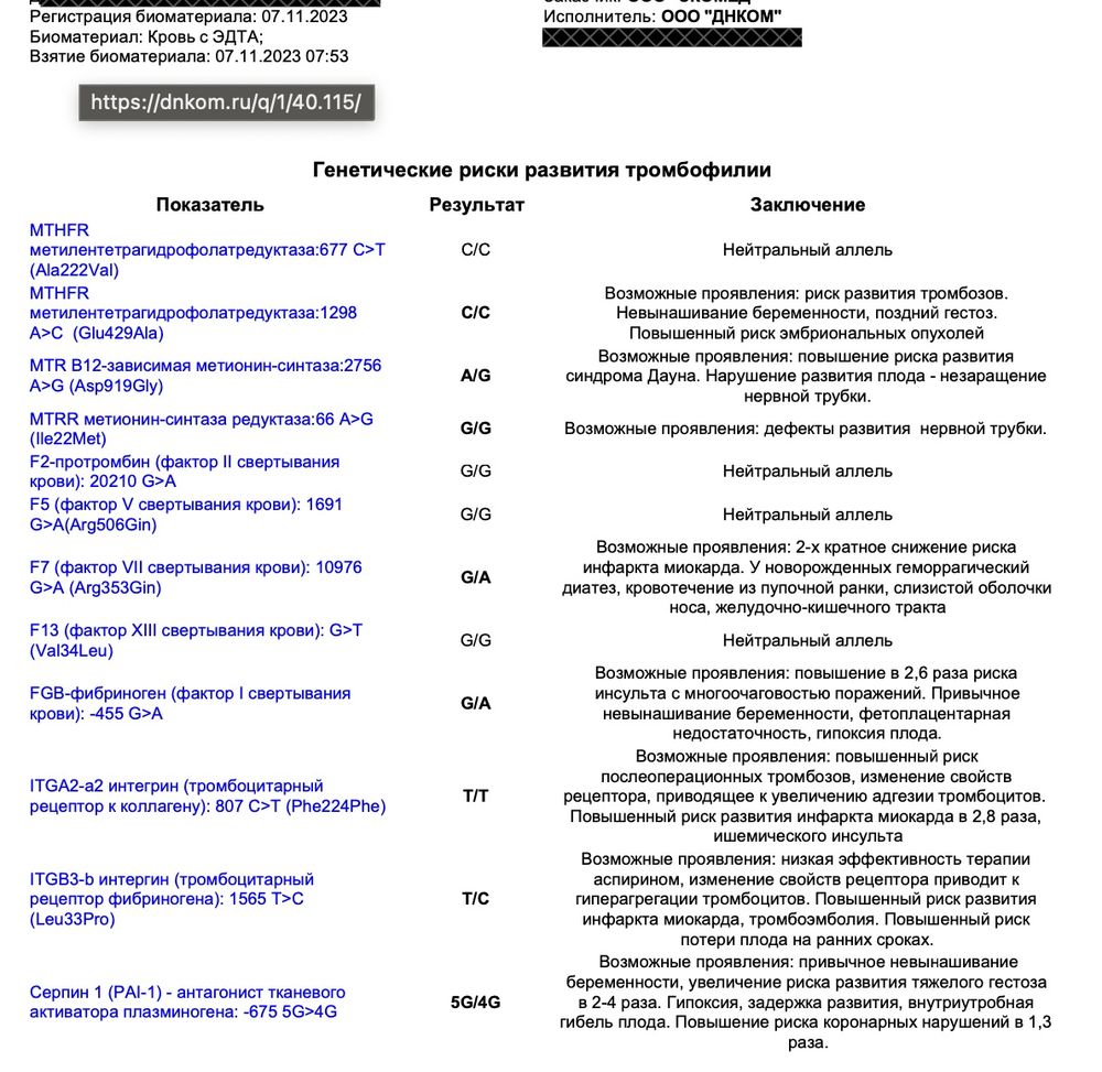
Помогите разобраться! ТАк все плохо или жить можно? Пока дойду к врачу уже поседею с этой беременностью...Я не понимаю, что критично, а что нет...
Помогите разобраться! ТАк все плохо или жить можно? Пока дойду к врачу уже поседею с этой беременностью...Я не понимаю, что критично, а что нет...