


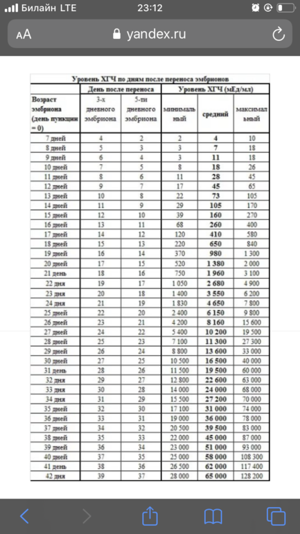
Всем привет.Подскажите не низкие показатели гормонов перед подсадкой? 

Добрый вечер.😉Девочки поделитесь своими историями про своё удачное КРИО на ЗГТ.☺️У кого какие были препараты назначены,особенно интересует Дивигель и Утрожестан.Хочется зарядится позитивными эмоциями от вас и чихами 😉💋Спасибо🙏🏻
Помогите разобраться.Сегодня была на приеме у РЕ (3 д.ц).Назначила дивигель с 5 д.ц. До 15(11 дней) и потом контроль Узи.Дивигель 1 гр .в день по 2 гр.Это мне нужно за раз на одно бедро 1 гр намазать и на другое 1 гр????или это мне надо разделить на 2 р ...
Всем привет.знаю тема избитая,но сколько здесь не читаю все равно ничего не понимаю.РЕ моя ещё ничего не рассказала что и как будет проходить.Девчонки,расскажите как у вас проходил КРИО протокол от самого начала.Был ли приём каких либо препаратов?Спасибо...

